" 중복되는 연산을 줄이자 "
" 메모리 공간을 약간 더 사용하면 연산 속도를 비약적으로 증가시킬 수 있는 방법 "
" 완전 탐색 알고리즘으로 접근했을 때 시간이 매우 오래 걸리면 다이나믹 프로그래밍을 적용할 수 있는지
해결하고자 하는 부분 문제들의 중복 여부를 확인해보자 "
- (해결하기 어려운 문제) = 깊게 다루는 분야로는 계산 복잡도 이론이 있다. => P-NP??? 공부 추천
- 3차원 리스트를 이용해야하는 복잡한 난이도 문제 = 9장 "최단 경로"
컴퓨터를 활용해도 해결하기 어려운 문제란 무엇인가???
- 최적의 해를 구하기에 시간이 매우 많이 필요하거나
- 메모리 공간이 매우 많이 필요한 문제 등
컴퓨터는 연산 속도에 한계가 있고 메모리 공간을 사용할 수 있는 데이터의 개수도 한정적이라는 점이
많은 제약을 발생시킨다.
" 그래서 우리는 연산 속도와 메모리 공간을 최대한으로 활용할 수 있는 효율적인 알고리즘을 작성해야 한다 "
(참고)
다이나믹 프로그래밍과 동적 할당의 다이나믹은 같은 의미일까???
- 프로그래밍에서 다이나믹(Dynamic)은 " 프로그램이 실행되는 도중에 " 라는 의미
동적 할당(Dynamic Allocation)
- 자료구조에서 동적 할당은 " 프로그램 실행 중에 프로그램 실행에 필요한 메모리를 할당 "하는 기법
- 다아나믹 프로그래밍에서의 " 다이나믹 "은 이런 의미가 아니라는 점만 기억하기
<접근 방식>
" 왼쪽부터 차례대로(= 점화식), i - 1 "
1. 단순히 재귀 함수로 비효율적인 프로그램을 작성한 뒤에(탑다운) 작은 문제에서 구한 답이 큰 문제에서 그대로 사용할 수 있으면, 즉 메모이제이션을 적용할 수 있으면 코드를 개선하는 방법도 좋은 아이디어이다.
- 첫번째 코드에서 메모이제이션 기법을 적용해(두번째 코드) 소스코드를 수정하는 것도 좋은 방법임
2. But 가능하다면 위 방식보다는 보텀업 방식으로 구현하는 것을 권장한다.
- 시스템상 재귀 함수의 스택 크기가 한정되어 있을 수 있다.
- 첫번째 코드(재귀적인 피보나치 수열)의 소스코드에서 5000번 이상의 큰 피보나치의 수를 구하도록 하면 " recursion depth 재귀 함수 깊이 " 와 관련된 오류가 발생할 수 있다.
# 재귀 제한 완화
import sys
sys.setrecursionlimit(10**6)
<사용 예시>
- 피보나치 수열( = 시간복잡도 O(2ⁿ) )
- 수학자들은 점화식을 사용해 수열의 항이 이어지는 형태를 간결하게 표현
<점화식이란???>
- 인접한 항들 사이의 관계식을 의미하는데,
https://ko.wikipedia.org/wiki/%EC%A0%90%ED%99%94%EC%8B%9D
점화식 - 위키백과, 우리 모두의 백과사전
위키백과, 우리 모두의 백과사전. 수학에서 점화식(漸化式)은 수열에서 이웃하는 두개의 항 사이에 성립하는 관계를 나타낸 관계식이다. 즉, 수열 { a n } {\displaystyle \{a_{n}\}} 의 각 항 a n {\displaysty
ko.wikipedia.org
프로그래밍에서는 이러한 수열을 배열이나 리스트로 표현할 수 있다.
수열 자체가 여러 개의 수가 규칙에 따라서 배열된 형태를 의미하는 것이기 때문이다.
'''
* n번째 피보나치 수 = (n-1)번째 피보나치 수 + (n-2)번째 피보나치 수
* 단, 1번째 피보나치 수 = 1, 2번째 피보나치 수 = 1
'''
# 해당 코드 문제 발생
# n이 커질수록 수행 시간이 기하급수적으로 늘어남
# 점화식을 재귀 함수를 사용 == 비효율적
def fibonacci(n):
if n == 1 or n == 2:
return 1
return fibonacci(n-1) + fibonacci(n-2)
print(fibonacci(4))
f(4)
/ \
f(3) f(2)
/ \
f(2) f(1)
prit(fiboncci(30)) # 2초 넘어감
파이썬의 경우 기본 자료형인 리스트 자료형이 연결 리스트(Linked List)의 기능을 포함하고 있는 점이
다른 프로그래밍 언어에서의 배열과 차이점이다. <Linked List>

<조건>
- 항상 다아니막 프로그래밍을 사용할 수는 없다.
1. 큰 문제를 작은 문제로 나눌 수 있다.
2. 작은 문제에서 구한 정답은 그것을 포함하는 큰 문제에서도 동일하다.
대표적 예시 = 피보나치
<메모이제이션 Memoization 기법>
- 다이나믹 프로그래밍을 구현하는 방법 중 한 종류(= 퀵 정렬에서도 소개됨)
<정렬>
https://cord-ai.tistory.com/160
- 퀵 정렬 = 분할 정복(Divide and Conquer) 알고리즘으로 분류된다.
- 다이나믹 프로그래밍과 분할 정복의 차이점은 다이나믹은 문제들이 서로 영향을 미친다는 것
- 한 번 구한 결과를 메모리 공간에 메모해두고 같은 식을 다시 호출하면 메모한 결과를 그대로 가져오는 기법
- 메모이제이션은 값을 저장하는 방법이므로 캐싱(Cashing)이라고도 한다
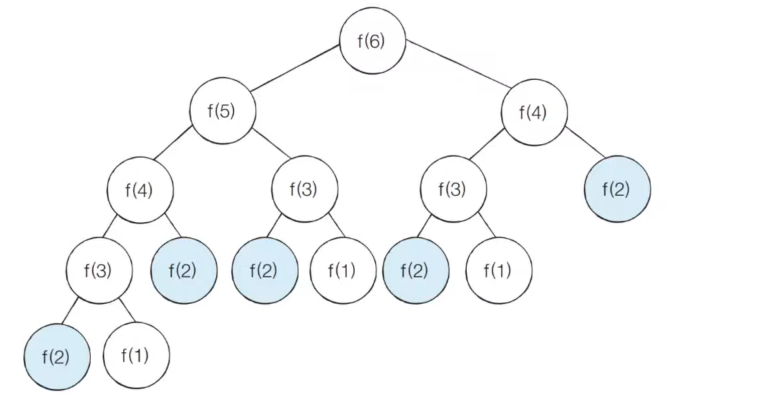
- 99번째인데도 금방 점답을 도출함(= 단순 매번 계산하는 피보나치 코드는 30번째 수를 구할려면 2초 걸림)
# Memoization
# 한 번 구한 정보를 리스트에 저장
# 다이나믹 프로그래밍을 재귀적으로 수행하다가 같은 정보가 필요할 때는 이미
# 구한 답을 그대로 리스트에서 가져오면 된다.
# 한 번 계산된 결과를 "메모이제이션" 하기 위한 리스트 초기화
# 퀵 정렬에서도 소개됨
m = [0] * 100
def fibo(n):
# 종료 조건
if n == 1 or n == 2:
return 1
# 이미 계산했던 것이라면 그대로 반환
if m[n] != 0:
return m[n]
# 아직 계산하지 않은 문제라면 점화식에 따라서 피보나치 결과 반환
m[n] = fibo(n-1) + fibo(n-2)
return m[n]
start = time.time()
print(fibo(99))
end = time.time()
print(end - start) # 0
사전(Dict) 자료형을 이용할 수도 있다.
- 사전 자료형은 수열처럼 연속적이지 않은 경우에 유용한데,
a의 n번째를 계산하고자 할 때 a0 ~ a n-1 모두(=합이)가 아닌 일부의 작은 문제에 대한 해답만 필요한 경우
<퀵과 다이나믹>
- 퀵 정렬은 한 번 기준 원소 Pivot가 자리를 변경해서 자리를 잡게 되면 그 기준 원소의 위치는 더 이상 바뀌지 않고 그 피벗값을 다시 처리하는 부분 문제는 존재하지 않는다.
- 다이나믹 프로그래밍은 한 번 해결했던 문제를 다시금 해결한다는 점이 특징
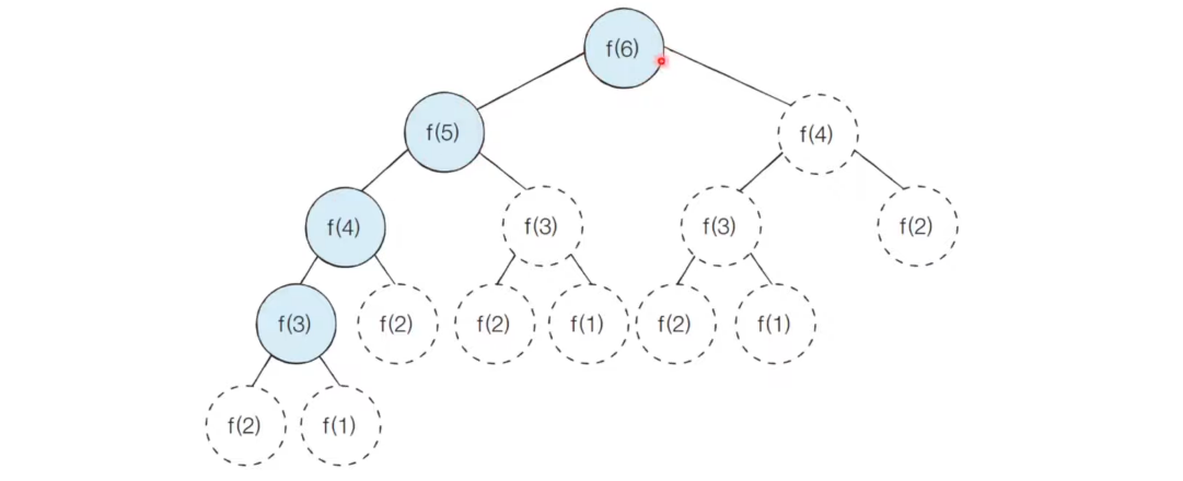
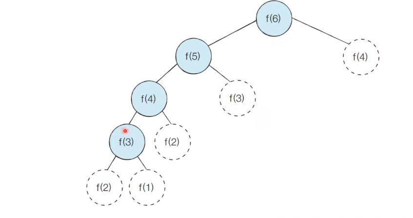
" So, 이미 해결된 부분 문제에 대한 답을 저장해 놓고, 이 문제는 이미 해결이 됐던 것이니까 다시 해결할 필요가 없다고 반환하는 것이다. "

점선 노드 = 처음 방식으로 호출했던 부분, 사실상 호출되지 않는것임
why???
- 호출하더라도 따로 계산하지 않고 리시트에서 값을 가져오거나 바로 1을 반환하기 때문에(= 코드 참조)
<메모이제이션에서 발생할 수 있는 문제>
- 재귀 함수를 사용하면 컴퓨터 시스템에서는 함수를 다시 호출했을 때 메모리 상에 적재되는 일련의 과정을 따라야 하므로 오버헤드가 발생할 수 있다.
= 재귀 함수 대신에 반복문을 사용하여 오버헤드를 줄일 수 있다.
= 일반적으로 반복문을 이용한 다이나믹 프로그래밍이 더 성능이 좋다.
<시간 복잡도 O(N)>
= f(1)을 구한 다음 그 값이 f(2)를 푸는 데 사용되고, f(2)의 값이 f(3)를 푸는데 사용되는 방식으로
이어지기 때문
= 한번 구한 결과는 다시 구해지지 않는다.(= 계산 X)

" 재귀 함수를 이용하여 다이나믹 프로그래밍 소스코드를 작성하는 방법을, (메모이제이션)
큰 문제를 해결하기 위해 작은 문제를 호출한다고 하여 탑 다운(Top-Down) 방식이라고 말한다. "
- '하향식'이라고도 한다.
- 메모제이션은 탑다운 방식에 국한되어 사용되는 표현
" 단순히 반복문을 이용하여 소스코드를 작성하는 경우,
작은 문제부터 차근차근 답을 도출한다고 하여 보텀업(Bottom-Up)이라고 말한다 "
- '상향식'이라고도 한다.
- 다이나믹 프로그래밍의 전형적인 형태
- Bottom Up 방식에서 사용되는 결과 저장용 리스트를 DP 테이블라고 부름
# Bottom Up 방식에서 사용되는 결과 저장용 리스트를 DP 테이블라고 부름
# DP테이블 초기화
m = [0] * 100
m[1] = 1
m[2] = 1
n = 99
# Bottom Up 다아니막 프로그래밍
for i in range(3, n+1):
m[i] = m[i-1] + m[i - 2]
print(m[n])
'IT 개인학습 > 이것이 취업을 위한 코딩테스트다 with 파이썬' 카테고리의 다른 글
| 플로이드 워셜 Floyd-Warshall 알고리즘 (0) | 2022.09.02 |
|---|---|
| 최단경로 Shortest Path (0) | 2022.08.31 |
| 이진 탐색 Binary Search (0) | 2022.08.24 |
| Sorting 정렬 (0) | 2022.08.19 |
| DFS / BFS , Graph Structure (0) | 2022.08.15 |
댓글